Overview of the application of amino resin crosslinking agents
The main role of amino resins (melamine-formaldehyde, benzomelamine-formaldehyde, and urea-formaldehyde resins) in thermosetting coatings is to crosslink the main film-forming material molecules into a three-dimensional network structure through chemical reactions. This network structure is obtained through the reaction of amino resin molecules with the functional groups on the film-forming material molecules, and simultaneously through condensation polymerization with other amino resin molecules. Amino resins readily react with polymers containing primary and secondary hydroxyl groups, carboxyl groups, and amide groups ; therefore, amino resins are commonly used in paint systems based on acrylic, polyester, alkyd, or epoxy resins.
Amino resins are also used in polyurethane systems as coating additives to improve the overall performance of coatings for certain applications.
The principle of amino resins:
The importance of amino resins in baking varnishes far exceeds their proportion in coatings. Understanding how to utilize the chemical properties of amino resins in coating formulation design is becoming increasingly important. For example, if coating formulators are dissatisfied with certain properties of the coating film, they can adjust them using the following methods:
1. Improvement or reselection of the film-forming resin itself;
2. Selection of amino resins (methyl etherification or butyl etherification, and selection of the degree of etherification, etc.);
3. The ratio of film-forming resin to amino resin.
4. Catalyst selection (whether to add it or not, and how much to add).
All four points above, except for the first one , relate to amino resins . The properties of amino resins depend on their functional groups and their activity; therefore, understanding the structure of amino resins is crucial. However, before understanding amino resins, it is essential to have a basic understanding of the host resins that are used in combination with them.
As mentioned earlier, amino resins are mainly used in combination with alkyd resins, acrylic resins , polyester resins, and epoxy resins . Alkyd resins are primarily synthesized from polyols and polyacid resins through esterification . During synthesis, alcohols are generally in excess; some carboxyl groups of the polyacids may not react completely, resulting in alkyd resins containing a certain amount of carboxyl and hydroxyl groups . The amount of carboxyl and hydroxyl groups is usually characterized by acid value and hydroxyl value . Acid value refers to the number of milligrams of KOH required to neutralize 1g of solid resin by titration with KOH. Hydroxyl value refers to the number of milligrams of KOH required to completely neutralize the OH groups in 1g of solid resin by titration with KOH. Similarly, polyester resins, acrylic resins, and amino resins also contain a certain amount of carboxyl and hydroxyl groups. The difference lies in the raw materials used to synthesize the resins; for example, the carboxyl groups in acrylic resins come from acrylic acid, and the hydroxyl groups come from hydroxyacrylic acid. The amounts of carboxyl and hydroxyl groups in amino resins also differ. Acid value, hydroxyl value, and viscosity are all important indicators of resins, directly affecting their performance.
Returning to the topic of amino resins, let's first look at their structure:
Figure 1:
Figure 2
Figure 1 shows a partially alkylated amino resin containing alkoxy, imino, and hydroxymethyl groups . If we consider the six-membered ring formed by the carbon and nitrogen atoms as a skeleton, the branches or structures derived from it can be figuratively described as having three heads and six arms. The myriad variations in the properties of amino resins are precisely due to the differences in these six "arms" and their intricate arrangements and combinations.
Figure 2 shows an extremely symmetrical HMMM structure, i.e., a fully methylated amino resin, with only one functional group: methoxy group, which is idealized. Since the degree of etherification cannot reach 1:6 (the highest) in actual production, the so-called fully methylated amino resin will always contain some imino and hydroxymethyl groups.
Let's start by understanding the principles of amino resins to learn about their properties:
The first step in synthesizing the resin is to react melamine with formaldehyde in the presence of a catalyst to form polyhydroxymethyl melamine. All the active hydrogen atoms on the triazine ring can be converted to hydroxymethyl groups, but in reality, it is 2 to 6 moles of formaldehyde that react onto the triazine ring. The remaining unreacted active hydrogen atoms are represented by imino groups. As we will see later, these groups play an important role in the curing process through self-condensation polymerization.
Polyhydroxymethyl melamine is highly unstable and has limited solubility in conventional coating solvents. Amino resins primarily function as cross-linking and curing agents in coatings. To create a suitable cross-linking agent for coatings, the hydroxymethyl group is typically etherified with a short-chain alcohol to reduce its reactivity and improve its compatibility with conventional film-forming materials and aliphatic solvents. Methanol and butanol are commonly used as short-chain alcohols. By controlling the amount of methanol or butanol added and other conditions, amino resins with different degrees of etherification can be obtained.
Only the sites that have reacted with formaldehyde (hydroxymethyl groups) can be end-capped with alcohols; the unreacted hydrogen atoms (imino groups) do not react with short-chain alcohols. Furthermore, this reaction shows that all six hydroxymethyl groups react with alcohols to form hexaalkoxymethyl melamine, meaning that the reaction of one to six hydroxymethyl groups with alcohols can actually be controlled. This is why we have such different types of amino resins.
Self-polymerization of amino resins :
The molecular weight of amino resins is determined by the degree of self-condensation or cross-linking between the functional groups (imino, hydroxymethyl, alkoxymethyl) on the triazine ring and melamine molecules. In end applications, the degree of cross-linking polymerization significantly affects the molecular weight of the amino resin and the performance of the coating film.
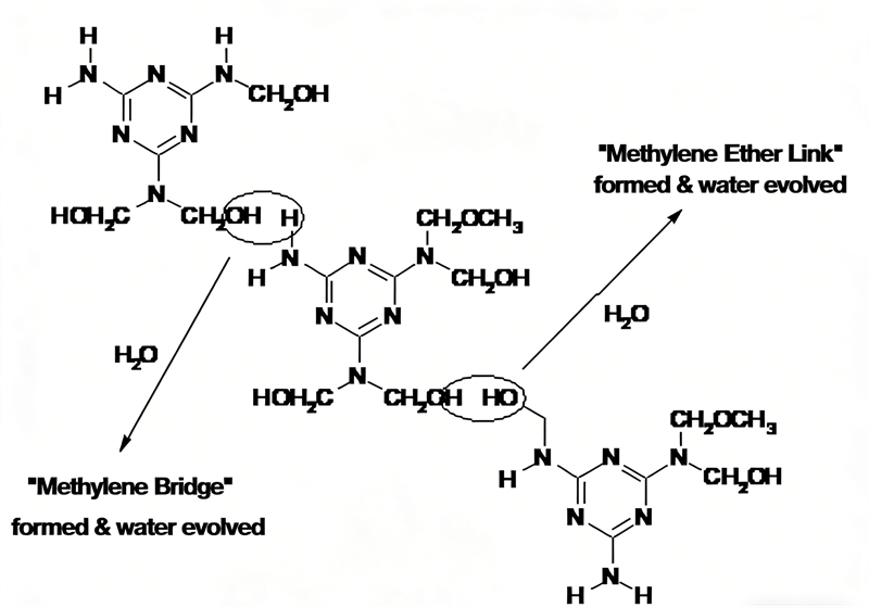
The self-condensation reaction of amino resins can occur through the following pathway:
Figure 3:
The reaction on the left forms a methylene bridge, while the reaction on the right forms a methylene ether bridge. The degree of bridging in amino resins is usually expressed as the degree of polymerization (DP): DP = molecular weight / weight of each triazine ring. Early amino resins were mostly self-polymerizing, with DP > 3.0. Technological advancements have made it possible to minimize self-condensation in finished amino resins. Currently, commercially available melamine resins have DPs as low as 1.1.
The main impact of amino resin molecular weight is reflected in coating viscosity. Melamine resins with a DP > 2.0 must be diluted with solvent to 50%–80% solids to achieve an applicable viscosity. Monomer-type melamine resins with a DP between 1.1 and 1.5 are usually supplied in 100% effective solids form; additional solvents have a significant impact on the VOCs of the finished coating. The molecular weight of amino resins also affects the coating curing reaction and film properties. A coating system using a high-DP amino resin will reach the specified crosslinking density in a shorter time than a coating system using an amino resin with the same structure but a lower DP. Therefore, coatings containing high-DP crosslinking agents require less catalyst or a weaker acid catalyst to achieve the same curing state. The effect of molecular weight on film properties is mainly in the flexibility range. Coatings cured with high-DP amino resins contain a higher percentage of amino-amino bonds and fewer amino-lacquer bonds. This type of crosslinking network structure forms a coating with good hardness but may be brittle. This can sometimes be compensated for by choosing a more flexible paint resin. However, applications requiring highly flexible coatings generally require monomeric amino resins.
Polyesters containing carboxyl groups can react with melamine-formaldehyde to produce useful thermosetting surface coatings with a wide range of physical properties.
Many butylated melamine-formaldehyde resins are commercially viable, primarily due to differences in initial degree of polymerization (molecular weight) and the ratio of alkoxy groups to those without hydroxymethyl groups and amino hydrogens. These differences affect liquid viscosity, the compatibility of melamine with polyester, and the curing speed of the enamel. Traditional melamine resins, reacting with side hydroxyl groups, primarily crosslink with polyester molecules. Since the crosslinking reaction is acid-catalyzed, at curing temperatures between 120°C and 150°C, strong acids typically affect the crosslinking reaction of polyester resins; however, some polyesters require additional acid catalysis in very weak acids to cure the enamel system.
The following phenomenon exists: In addition to the crosslinking reaction of melamine-polyester, butylated melamine-formaldehyde resin also undergoes a self-condensation reaction. That is, the amino resin undergoes self-crosslinking to form a melamine network structure. This reaction occurs simultaneously with the melamine-polyester reaction and is a competing reaction. The reason for this reaction is that, in addition to butoxy groups, butylated melamine-formaldehyde resin also contains free hydrocarbon methyl groups and hydrogen from imino groups, all of which can react with each other. Once the amino resin undergoes self-crosslinking, it will lose some of its functions.
While self-crosslinking often gives coatings greater hardness and chemical resistance, it results in a significant loss of elasticity. To achieve sufficient elasticity in polyester varnishes...
Hexamethoxymethyl melamine (HMMM) is a fully hydroxymethylated and fully methylated monomeric amino resin. Similar to butylated melamine-formaldehyde, it undergoes a cross-linking reaction with the hydroxyl groups of polyester resin upon heating, forming a non-softening solid. Essentially, without an acid catalyst, HMMM will not undergo self-crosslinking even with prolonged time or increased temperature. However, bulk HMMM will undergo a self-crosslinking reaction at 150°C in the presence of a strong acid catalyst. Conversely, even in the absence of a strong acid, conventional butylated melamine and urea resins will undergo strong self-crosslinking reactions with increasing temperature.
Curing reaction of amino resins:
Since amino resins are used to crosslink the main film-forming material molecules into a network structure, the co-condensation reaction of amino resins with paint resins is of great interest. A typical example is the etherification (exchange) reaction of hydroxyl groups on paint resins and alkoxymethyl groups on amino resins .
Under conditions of heat and acid catalysts (typically curing conditions ), crosslinking occurs rapidly, connecting all available hydroxyl groups on the paint. In fact, as the polymer network structure forms, the fluidity of the reactants decreases, leaving some hydroxyl groups unreacted. Generally, when an excess of amino resin is present in the coating compared to the ideal ratio, the remaining alkoxy groups can participate in other reactions or remain unreacted in the coating film. As mentioned earlier, amino resins readily self-crosslink and react with each other, resulting in an increase in molecular weight during production. These reactions also occur during coating curing. Thus, rather than being a negative factor, a certain degree of self-crosslinking of amino resins is essential for obtaining a well-durable, tightly packed polymer matrix. All three functional groups of amino resins participate in self-crosslinking reactions, and in fully alkylated melamine resin coatings catalyzed by strong acids, there is evidence that these reactions occur after ether exchange with the coating resin. In the absence of external catalysts or weak acid catalysts, these self-crosslinking reactions occur to an even greater extent in melamine resin systems with high imino/or hydroxymethyl functionality . In both cases, a slight self-polymerization reaction is crucial for the formation of a good network structure.
During the curing of amino resin crosslinked coatings, other reactions that occur are formaldehyde removal and hydrolysis . Formaldehyde removal occurs readily at normal curing temperatures, which is almost the only reason for the release of formaldehyde during the curing of amino resins; the other formaldehyde is free formaldehyde.
When amino resins crosslink to form films and cure, some hydrolysis reactions occur. During this process, some alkoxymethyl groups are converted to hydroxymethyl groups. The hydrolysis of melamine resins with high imino or hydroxymethyl content can be catalyzed by alkalis, and can even occur slowly at room temperature. This makes amino resins more prone to self-crosslinking, leading to an increase in the viscosity of the coating during storage. To avoid this, fully methylated melamine resins or co-solvents resistant to alkali hydrolysis can be used in water-based coatings . Fully alkylated melamine resins are resistant to alkali-catalyzed hydrolysis in water-based systems. Fully alkylated and partially alkylated melamine resins are not resistant to acid-catalyzed hydrolysis in water-based systems; therefore, a blocked acid catalyst must be used in the water-based system.
If you want to know more crosslinking agent products, feel free to contact us.
Post time: Dec-19-2025
